Exploring the Therapeutic Potential of Moringa Oleifera in Lead Poisoning: An Investigation of its Effects on Blood Lead Levels and Oxidative Stress in Rats
Keywords:
Antioxidants; Lead toxicity; Moringa oleifera; dimercaptosuccinic acid; oxidative stressAbstract
Objective: Lead poisoning is a global public health problem that has been associated with poor treatment outcomes. We therefore evaluated the ability of Moringa oleifera (M. oleifera) to reduce blood lead level (BLL) and lead-induced oxidative stress in relation to dimercaptosuccinic acid (DMSA) in albino wister rats. Methods: Thirty rats were allocated into five groups consisted of 6 rats each. Control group (A) received normal rat chow and water ad libitum for 12 weeks. Group (B-E) initially received 100 mg/kg body weight lead acetate per oral for 6 weeks. Thereafter, groups B, C, D and E received DMSA and different doses of M. oleifera and their combination for another 6 weeks. Blood samples were collected prior to treatment, 6 weeks, and 12 weeks post-treatment for the analysis of BLL, malondialdehyde (MDA), catalase (CAT), superoxide dismutase (SOD), and glutathione-s-transferase (GST). Results: BLL and MDA increased significantly (p<0.05) while serum SOD, CAT, and GST activities decreased significantly (p<0.05) from their pre-treatment levels after 6 weeks of lead acetate administration. However, 400 mg/kg body weight M. oleifera administration after 12 weeks post-treatment significantly (p<0.05) decreased 6 weeks BLL by (40.5%); MDA (52%); and significantly (p<0.05) increased the activities of serum SOD by (35%); CAT (26.3%); and GST (53%). Conclusion: M. oleifera was observed to not only effectively reduce blood lead levels but also ameliorate lead induced oxidative stress through enhanced antioxidant activities. M. oleifera may therefore, serve as an alternative therapeutic approach to lead poisoning especially in resource limited settings.
Downloads
Introduction
Lead exposure causes approximately 143,000 deaths each year mostly in developing regions [1]. It is one of the biggest environmental problems considering the number of people exposed and the associated public health burden [2]. In Nigeria, the burden of lead poisoning is high. For instance, lead poisoning killed over 400 children, while more than 2,500 children were enrolled in the intervention program organized by Medicens Sans Frontieres following the lead-poisoning outbreak in Zamfara State, Nigeria [3]. In addition, lead poisoning as a result of illegal mining in Niger State, Nigeria claimed around 28 lives (mainly children under age of five), while many required medical treatment [4].
A significant number of small-scale and medium scale industrial/occupational workers (auto-mechanics, electricians, welders, painters, panel beaters etc.) using lead-based materials are also at risk of lead poisoning [5-7]. Their exposure risks are increased due to a lack of work place regulations for lead exposure and poor implementation of waste management policies. According to the WHO, the widespread use of lead in different regions of the world has resulted in widespread environmental contamination, human exposure and high public health burden and currently there is no known level of lead exposure that is considered safe [1].
Chelation therapy is the most commonly used treatment option for lead poisoning [8]. These chelating agents include ethylene diamine tetra acetate (CaNa2EDTA), British anti-lewisite (BAL), Dimercaptosuccinic acid (DMSA), and penicillamine etc. Although DMSA is better than other chelating agent in terms of safety, it is still burdened with high content of essential minerals extraction [9]. In addition, medical condition such as lead poisoning, in which the symptoms are not as obvious and often go undiagnosed especially in the case of chronic and low-dose exposure, as in the case of occupational workers do not always require treatment with these conventional drugs. These side effects and other limitations have prompted the search for a safer alternative therapy.
M. oleifera, also called drumstick tree, or horseradish tree, is a well-known and most widespread species of the Moringaceae family. It is a very important tropical plant widely used as medicine, human food, and in oil production [10]. All parts of M. oleifera such as leaves, flowers, gums, roots, seeds and fruits are used extensively to treat diabetes mellitus [11], renal and liver diseases [12], hematological and renal function [13], as well as metal intoxications including arsenic [14], and lead [15]. Previous studies have shown that M. oleifera leave are a good metal ion chelator [16].
The ability of M. oleifera seeds to remove cadmium from aqueous media has also been demonstrated [17]. This property is very useful in purifying drinking water, especially in low-income countries. It is therefore likely that the leaf extract could also remove lead in vivo. However, this work was designed to investigate the therapeutic potential of M. oleifera in the treatment of lead toxicity and to relate the outcome of supplementation to that of DMSA in lowering BLL as well as enhancing antioxidant activities.
Materials and methods
Plant Collection and extraction
Fresh leaves of M. oleifera were obtained from Obukpa at Nsukka LGA collected, in Enugu State, Nigeria, and was identified taxonomically by a botanist (Ugwuozor PO) at Nnamdi Azikiwe University (NAU), Awka. The specimen copy (PCG474/A/037) has been deposited in the Herbarium of the Department of Pharmacognosy, Faculty of Pharmaceutical Sciences, NAU, Agulu for future reference. The fresh leaves were washed in clean water several times, air-dried in the shade for about 3 days, and then pulverized with a blender. This yielded 500 g of dried powder, which underwent complete extraction by a cold maceration process. Briefly, 500 g of dried powder was soaked in 2.5 liters of methanol for a week with intermittent shaking and changing the solvent every 48 h. The percolated extract was dried in the rotary evaporator at 45°C, weighed and dissolved in distilled water to give the final concentration of 200 and 400-mg extract/kg body weight. The exact weight of the final extract was 86.4 g, giving a percentage yield of 17.28%.
Experimental animals
30 male Wistar rats weighing 140-160 g were procured from the breeding colony of the Department of Pharmacology/Toxicology, Faculty of Pharmaceutical Sciences, NAU, Awka. They were maintained under standard laboratory animal conditions at a temperature of 22±3 C, a relative humidity of 50±5% and a photoperiod of 12 h (12 h dark and 12 h light cycle). All animal experiment was performed in accordance with National Institutes of Health (NIH) guidelines for the care and use of laboratory animals.
Materials and methods
The study design was approved by the Ethics Committee of the Faculty of Basic Medical Sciences, NAU, Nnewi Campus. The animals were assigned to five different groups of six animals each. Group A received normal rat chow and water ad libitum for 12 weeks, while groups B and C received 100-mg/kg body weight lead acetate orally for 6 weeks and then 200 and 400-mg/kg body weight M. oleifera for a further 6 weeks. Group D rats were administered 100-mg/kg body weight lead acetate for 6 weeks and then 30-mg/kg body weight DMSA (PO) for 5 days, followed by 14 days 20-mg/kg body weight/day, while group E were administered 100-mg/kg body weight lead acetate for 6 weeks and then continued with 200-mg/kg body weight M. oleifera for 6 weeks concomitantly with 30-mg/kg body weight DMSA (PO) for 5 days followed by 14 days 20-mg/kg body weight/day.
Sample collection and biochemicalanalysis
Blood samples were collected at three stages, namely: baseline (pretreatment), six weeks after administration of lead acetate, and six weeks after administration of M. oleifera, DMSA, and their combinations. At the end of the experiment, the rats were fasted overnight and blood was collected by retro-orbital puncture. Blood was collected in lithium heparin containers for blood lead determination and also in sterile plain containers. The blood in the plain containers was allowed to clot, collected and the serum separated and stored at −30°C for analysis of oxidative parameters within a week of storage. [18]. SOD was determined using the method of Misra and Fredovich[19]. CAT was tested using the method of Sinha [20]. GST was determined according to the method of Habig, et al. [21].MDA was analyzed using the method of Gutteridge and Wilkins[22].
Statistical analysis
Version 21 of the Statistical Package for Social Sciences (SPSS) (IBM, USA) was used for the statistical analysis. All data were expressed as mean standard deviation. Test of significant difference of one group at different intervals was performed by paired t-test, while mean difference of more than two groups was performed using ANOVA (p<0.05 was taken as cut-off point for significant used). The plots were performed using SigmaPlot version 12 software.
Results
The pretreatment BLL did not differ significantly (p>0.05) in all the groups. After six weeks of lead-acetate administration, there was significant (p<0.05) increase in the mean BLL in all the groups when compared with their pretreatment, and control group. BLL level decreased significantly (p<0.05) after 6 weeks of subsequent M. oleifera and DMSA administration when compared to their six weeks (lead acetate administration) level in all the groups. BLL at 12 weeks in 200-mg/kg body weight M. oleifera and 400-mg/kg body weight M. oleifera groups differed significantly (p<0.05) when compared to their pretreatment levels(p<0.05), while BLL at 12 weeks in DMSA and 200-mg/kg body weight M. oleifera + DMSA groups were similar with their pretreatment levels (p>0.05) (Figure 1).
Figure 1. The effects of 6-week administration of lead, and subsequent 6-week administration of different doses of M. oleifera, DMSA and their combinations on mean levels of blood lead levels. b=p<0.05 when compared with their baseline and 12 weeksc=p<0.05 when compared with their baseline
The six-week administration of 200-mg/kg body weight M. oleifera, 400-mg/kg body weight M. oleifera, DMSA, and 200-mg/kg body weight M. oleifera + DMSA were able to reduce blood lead level up to 29%, 40.5%, 63% and 63.3% respectively from their six weeks lead acetate levels (Figure 2).
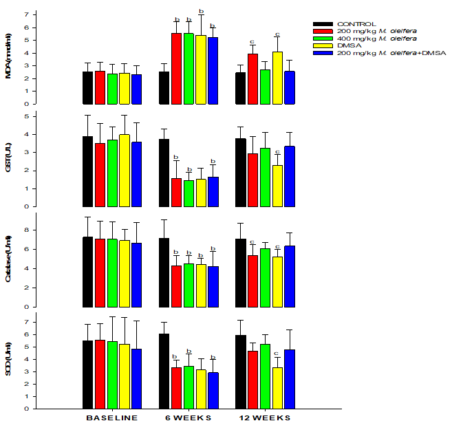
Figure 2. The effects of 6-week administration of lead, and subsequent 6-week administration of different doses of M. oleifera, DMSA and their combinations on mean levels of SOD, catalase, GST, and MDA b=p<0.05 when compared with their baseline and 12 weeks. c=p<0.05 when compared with their baseline.
The pretreatment levels of serum MDA, SOD, catalase and GST did not differ significantly (p>0.05) in all the groups. The mean level of MDA increased significantly (p<0.05) while the mean levels of SOD, GST and CAT activities decreased significantly (p<0.05) after six weeks of lead-acetate administration when compared with their pretreatment levels in all the groups, except in control group (p>0.05). However, the mean level of MDA decreased significantly (p<0.05) while the mean levels of SOD, GST and catalase activities increased significantly (p<0.05) after 6 weeks of subsequent M. oleifera and DMSA administration when compared with their six weeks of lead-acetate administration in all the groups (p<0.05), except for SOD and GST in DMSA and control group (p>0.05). All the parameters did not differ significantly after 6 weeks of subsequent M. oleifera and DMSA administration when compared with their pretreatment levels in all the groups (p>0.05), except in DMSA group and for MDA and catalase in 200-mg/kg body weight M. oleifera group (p<0.05) (Figure 2).
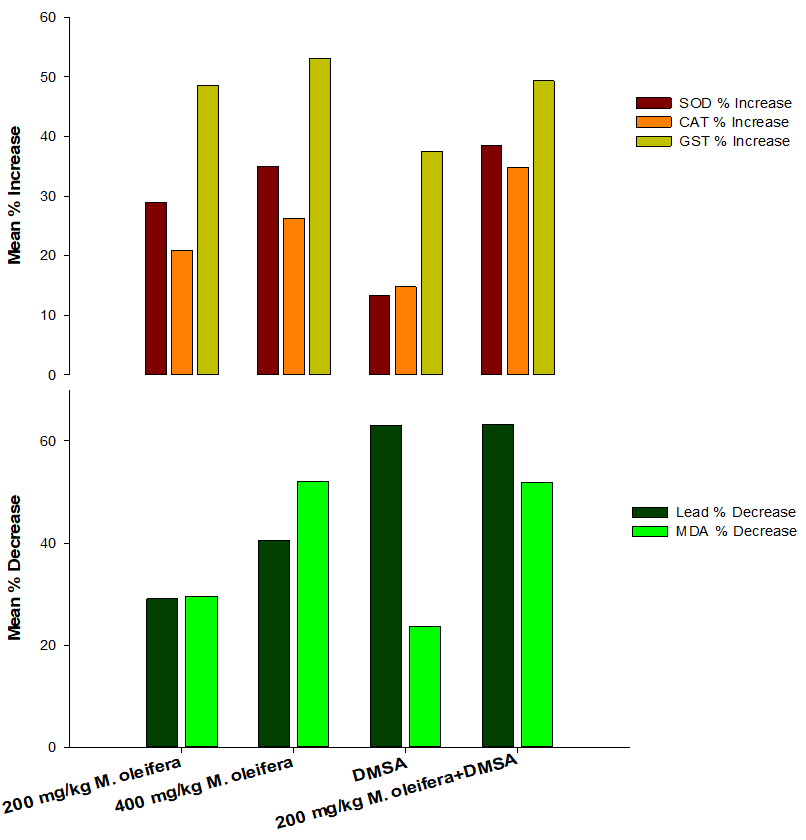
The six-week administration of 200-mg/kg body weight M. oleifera, 400-mg/kg body weight M. oleifera, DMSA, and 200-mg/kg body weight M. oleifera + DMSA produced serum increase in SOD activities by 29%, 35%, 5%, 38.5% (Figure 3); CAT activities by 20.8%, 26.3%, 14.8%and 34% (Figure 3); GST activities by 48.6%, 53%, 32% and 49.4% (Figure 3); and were able to decrease MDA levels by 29.6%, 52%, 23.7% and 51.9% respectively (Figure 3).
Figure 3. The percentage changes in the levels of BLL, MDA, SOD, CAT, and GST following M. oleifera and DMSA treatment on lead-induced toxicity in rat
Discussion
Lead is a toxic metal when ingested or inhaled, and it affects almost every system in the body [23]. Six weeks oral lead administration, as observed in this study could result in significantly elevated blood lead levels (Figure 1), which correlated with the recorded lead-induced toxicity. A previous study reported an association between elevated blood lead and deleterious effects on antioxidant activities [24].
However, six weeks oral administration of M. oleifera leave extract at different doses significantly reduced BLL though DMSA alone and in combination with M. oleifera were more effective (Figure 1). The significant reduction in the blood lead level as observed in this study may have been mediated through chelation by the M. oleifera leave extract. Studies have shown that the leave extract of M. oleifera was rich in essential amino acids especially the sulfur containing amino acids [25]. These proteineous amino acids have been shown to exhibit variety of structurally related pH-dependent properties, which generate negatively charged atmosphere that play important role in binding to metals [17].
Lead induced oxidative stress has been described as the primary contributory agent in the pathogenesis of lead toxicity [26]. This study showed that lead exposure for six weeks significantly decreased antioxidant enzymes (SOD, CAT, and GST) and increased lipid peroxidation product (MDA) (Figure 2). These findings were in agreement with other previous works that reported increased lipid peroxidation [27], and decrease in antioxidant levels [28]. More so, previous studies have shown that lead can cause oxidative stress in many ways. For instance, by inducing the generation of reactive oxygen species; reduction in the antioxidant defense system of cells via depleting glutathione; interference with some essential metals; inhibition of sulfhydryl dependent enzymes or antioxidant enzymes activities; or by increased susceptibility of cells to oxidative attack by altering membrane integrity and fatty-acid composition [29].
After six weeks of administration of different doses of M. oleifera (200 and 400-mg/kg body weight), DMSA, and their combinations, the altered oxidative markers induced by lead exposure were variably restored. Though, DMSA alone increased the antioxidant enzymes activities (SOD, CAT and GST) and decreased the raised lipid peroxidation, M. oleifera at both concentrations were more effective in restoring the altered oxidative markers (Figure 2). This showed that the M. oleifera leave extract can reverse the oxidative cell damage caused by lead toxicity. These findings were in line with a previous study that reported significant higher activities of SOD, CAT and GST and a significant lower level of lipid peroxidation after administration of M. oleifera leave extract in diabetic rats [30]. They attributed the protection against oxidative damage by M. oleifera to increased level of flavonoid and phenolic contents presence in the M. oleifera leave extract.
Figure 3 showed that the combined administration of DMSA and M. oleifera was better than the individual treatments in the recovery of the antioxidant parameters and reduction in lipid peroxidation product as well as depletion of blood lead levels. Though, the combination did not appreciably decrease BLL more than DMSA alone, increasing the concentration of M. oleifera used in the combination may be accompanied by more pronounced reduction in BLL.
Due to high safety profile of M. oleifera[31], and its desirable nutrient contents such as vitamins, essential minerals, amino acids, fatty acids [32], extending the duration of supplementation may increase the degree of blood lead reduction and enhance antioxidant activities in subject exposed to lead. M. oleifera may also serve as a desirable therapeutic approach in chronic to low dose lead exposure, such as in the case of occupational workers in which case the conventional chelating agents may not be recommended. Availability and cost-effectiveness also speakin favor of M. oleifera especially in low income countries like Nigeria.
Conclusion
M. oleifera not only significantly reduced blood lead levels, but also protected against oxidative damage after six weeks of administration in lead exposed rats.
Conflict of interest: None
Conflicts of interest: This research is self-sponsored.
References
1. WHO. Factsheet. Lead poisoning and health; 2013. Available at: hptt: [cited 2/6/2015]. Available from: http://www.who.int/mediacentre/factsheets/fs379/en/.
2. Pokras MA, Kneeland MR. Lead poisoning: using transdisciplinary approaches to solve an ancient problem. Ecohealth. 2008;5(3):379-85. doi: 10.1007/s10393-008-0177-x, PMID 19165554.
3. Sans M. Frontieres. Lead Poisoning Crisis in Zamfara State, Northern Nigeria; 2012 [cited 2/6/2015]. Available from:http://www.msf.org.
4. Says FG. Vanguard. Nigeria: Lead Poisoning Kills 28 in Niger;May 14, 2015 [cited 2/7/2015]. Available from:http://www.allafrica.com/stories/201505140096.html.
5. Amah UK, Madu NK, Ahaneku JE, Ahaneku GI, Onah CE, Onuegbu JA et al.Evaluation of nephrotoxic effect of lead exposure among automobile repairers in Nnewi Metropolis. IntJResMedSci. 2014;2(3):1107-11. doi: 10.5455/2320-6012.ijrms20140893.
6. C Ogbodo E, N Okpogba A, C Dike C, O Nwoko S, C Ugwu E. Evaluation of heavy metal levels in blo od of cable manufacturing factory workers in Nnewi. Int J Clin BiochemRes. 2019;6(3):430-6. doi: 10.18231/j.ijcbr.2019.091.
7. Ogbodo EC, Okpogba AN, Amah UK, Mounmbegna EP, Obi-Ezeani CN. Evaluation of some heavy metal levels in blood of lead acid battery manufacturing factory workers in Nnewi, Nigeria. Indian J Pharm Pharmacol. 2020;7(2):82-94. doi: 10.18231/j.ijpp.2020.017.
8. Zhai Q, Narbad A, Chen W. Dietary strategies for the treatment of cadmium and lead toxicity. Nutrients. 2015;7(1):552-71. doi: 10.3390/nu7010552, PMID 25594439.
9. Mikirova N, Casciari J, Hunninghake R. Efficacy of oral DMSA and intravenous EDTA in chelation of toxic metals and improvement of the number of stem/progenitor cells in circulation. TranslBiomed.2011;2:1-8.
10. Hamza AA. Ameliorative effects of Moringa oleifera Lam seed extract on liver fibrosis in rats. Food Chem Toxicol. 2010;48(1):345-55. doi: 10.1016/j.fct.2009.10.022, PMID 19854235.
11. Nwogor TA, Ogbodo EC, Amah UK, Ezeugwunne IP, Onah CE, Okwara JE, et al.The effects of Moringa oleifera intake on plasmaglucose and serumlipidconcentrations in apparentlyhealthystudents of college of healthsciences.Anamra State, Nigeria: Nnamdi Azikiwe University, Nnewi Campus. International Journal of Novel Research in Life Sciences; 2017; 4(4). p. 89-99.
12. ‘Onah C, Meludu S, Dioka C, Onuegbu A, Onah C, Ajaghaku D et al. Amelioratory Effect of Methanolic Leaf Extract of Moringa oleifera on Some Liver and Kidney Function and Oxidative Stress Markers in Lead-intoxicated Rats. EJMP;12(4):1-12. doi: 10.9734/EJMP/2016/23763’
13. Mazumder UK, Gupta M, Chakrabarti S, Pal D. Evaluation of haematological and hepatorenal functions of methanolic extract of Moringa oleifera Lam. root treated mice. Indian JExpBiol. 1999;37(6):612-4. PMID 10641193.
14. Gupta R, Kannan GM, Sharma M, Flora SG. Therapeutic effect of Moringa oleifera in arsenic- induced toxicity in rat. EnvroToxicolPharmacol.2005;20:456-64.
15. Sirimongkolvorakul S, Tansatit T, Preyavichyapugdee N, Kosail P, Jiraungkoorskul K,Jiraungkoorskul W. Efficiency of Moringa oleifera dietary supplement reducing leadtoxicity in Puntius altus. J Med Plants Res. 2012;6(2):187-94. doi: 10.5897/JMPR11.062.
16. Aamir R, Tahseen G, Kh. AY, Faiz-ul-Hassan N, FehmidaYounas, Saiqa A. Exploring anti-acetylcholinesterase, antioxidant and metal chelating activities of extracts of Moringa oleifera L. for possible prevention and cure of Alzheimers disease. SciResEssays. 2014;9(11):523-7. doi: 10.5897/SRE2013.5537.
17. Sharma P, Kumari P, Srivastava MM, Srivastava S. Removal of cadmium from aqueous system by shelled Moringa oleifera lam. seed powder. Bioresour Technol. 2006;97(2):299-305. doi: 10.1016/j.biortech.2005.02.034, PMID 15949938.
18. Hassel DW. A simple and rapid quantitative determination of lead in blood. AtomAbsorp.Newsl1968;7:50-5.
19. Misra HP, Fridovich I. The role of superoxideanion in the autoxidation of epinephrine and a simpleassay for superoxide dismutase. J Biol Chem. 1972;247(10):3170-5. doi: 10.1016/S0021-9258(19)45228-9, PMID 4623845.
20. Sinha AK. Colorimetric assay of catalase.AnalBiochem. 1972;47(2):389-94. doi: 10.1016/0003-2697(72)90132-7, PMID 4556490.
21. Habig WH, Pabst MJ, Jakoby WB. Glutathione S-transferases. The first enzymatic step in mercapturic acid formation. J Biol Chem. 1974;249(22):7130-9. PMID 4436300.
22. Gutteridge JM, Wilkins S.Formation of thiobarbituric acid reactive products. FEBS Lett. 1982;137(2):327-30. doi: 10.1016/0014-5793(82)80377-3, PMID 6277694.
23.Helmenstine AM. What makes lead poisonous; 2012 [cited 20/5/2015]. Available from: http://www.chemistry.about.com/od/howthingsworkfaqs/f/leadpoisoning.htm.
24. Patra RC, Rautray AK, Swarup D. Oxidative stress in lead and cadmium toxicity and its amelioration. Vet MedInt.2011;2011:457327. doi: 10.4061/2011/457327, PMID 21547215.
25. Richter N, Siddhuraju P, Becker K. Evaluation of nutritional quality of Moringa oleifera leaves as an alternative protein source for Nile tilapia. Aquaculture. 2003;217(1):599-611.
26. Xu J, Lian LJ, Wu C, Wang XF, Fu WY, Xu LH. Lead induces oxidative stress, DNA damage and alteration of p53, Bax and Bcl-2 expressions in mice. Food Chem Toxicol. 2008;46(5):1488-94. doi: 10.1016/j.fct.2007.12.016, PMID 18226849.
27. Bokara KK, Brown E, McCormick R, Yallapragada PR, Rajanna S, Bettaiya R. Lead induced increase in antioxidant enzymes and lipid peroxidation products in developing rat brain. Biometals. 2008;21(1):9-16. doi: 10.1007/s10534-007-9088-5, PMID 18214713.
28. Vaziri ND, Lin CY, Farmand F, Sindhu RK. Superoxide dismutase, catalase, glutathione peroxidase and NADPH oxidase in lead induced hypertension. Kidney Int. 2003;63(1):186-94. doi: 10.1046/j.1523-1755.2003.00711.x, PMID 12472782.
29. Sharma S, Sharma V, PrachetaSSH. Therapeutic Potential of Hydromethanolic Root Extract of Withaniasomnifera onNeurological Parameters in Swiss albino Mice Subjected to leadnitrate. Int J CurrPharmaceu Res.2011;3:52-6.
30. Jaiswal D, Rai PK, Mehta S, Chatterji S, Shukla S, Rai DK et al.Role of Moringa oleifera in regulation of diabetes-induced oxidative stress. Asian Pac J Trop Med. 2013;6(6):426-32. doi: 10.1016/S1995-7645(13)60068-1, PMID 23711700.
31. Stohs SJ, Hartman MJ. Review of the safety and efficacy of Moringa oleifera.PhytotherRes. 2015;29(6):796-804. doi: 10.1002/ptr.5325, PMID 25808883.
32. Teixeira EMB, Carvalho MRB, Neves VA, Silva MA, Arantes-Pereira L. Chemical characteristics and fractionation of proteins from Moringa oleifera Lam. leaves. Food Chem.2014;147:51-4. doi: 10.1016/j.foodchem.2013.09.135, PMID 24206684.
Published
Issue
Section
License
Copyright (c) 2023 Onah Christian Ejike, Onah Chinwemma Florence, Ehiaghe Alfred Friday, Onyegbule Onyema Athanasius, Ogbodo Emmanuel Chukwuemeka, Ijeomah Ann Ukamaka, Nnaemeka Wuraola Serah, Meludu Samuel Chukwuemeka, Dioka Chudi Emmanuel

This work is licensed under a Creative Commons Attribution-NonCommercial-ShareAlike 4.0 International License.
The journal allows the author(s) to hold the copyright without restrictions and will retain publishing rights without restrictions.
The submitted papers are assumed to contain no proprietary material unprotected by patent or patent application; responsibility for technical content and for protection of proprietary material rests solely with the author(s) and their organizations and is not the responsibility of the journal. The main (first/corresponding) author is responsible for ensuring that the article has been seen and approved by all the other authors. It is the responsibility of the author to obtain all necessary copyright release permissions for the use of any copyrighted materials in the manuscript prior to the submission.
What are my rights as an author?
It is important to check the policy for the journal to which you are submitting or publishing to establish your rights as
Author. Journal's standard policies allow the following re-use rights:
- The journal allows the author(s) to hold the copyright without restrictions.
- The journal allows the author(s) to obtain publishing rights without restrictions.
- You may do whatever you wish with the version of the article you submitted to the journal.
- Once the article has been accepted for publication, you may post the accepted version of the article on your own personal website, your department's website or the repository of your institution without any restrictions.
- You may not post the accepted version of the article in any repository other than those listed above (i.e. you may not deposit in the repository of another institution or a subject-matter repository) until 12 months after publication of the article in the journal.
- You may use the published article for your own teaching needs or to supply on an individual basis to research colleagues, provided that such supply is not for commercial purposes.
